MyProtection Amanah merupakan produk asuransi jiwa berbasis Syariah dari PT Asuransi Allianz Life Syariah Indonesia dengan kontribusi berkala yang menyediakan kombinasi perlindungan jiwa dan investasi dengan pilihan subdana/berbagai opsi jenis portofolio investasi yang dapat disesuaikan dengan kebutuhan.
| Usia Pihak yang Diasuransikan Pada Saat Meninggal Dunia (tahun) | Manfaat Meninggal Dunia yang Dibayarkan |
| ≤ 1 | 20% dari Santunan Asuransi |
| 2 | 40% dari Santunan Asuransi |
| 3 | 60% dari Santunan Asuransi |
| 4 | 80% dari Santunan Asuransi |
| ≥ 5 | 100% dari Santunan Asuransi |
| Usia masuk peserta | Minimum 18 tahun (ulang tahun terdekat) | ||||||||||||||
| Usia masuk Pihak yang diasuransikan | 1 bulan–70 tahun (ulang tahun terdekat) | ||||||||||||||
| Ketentuan kontribusi |
Minimum kontribusi berkala:
Maksimum kontribusi berkala:
Minimum Kontribusi Top Up Tunggal Rp1.000.000,- Maksimum
|
||||||||||||||
| Mata uang | Rupiah | ||||||||||||||
| Underwriting |
Untuk usia masuk 1 bulan–60 tahun
|
||||||||||||||
| Santunan Asuransi |
Minimum: Sesuai dengan ketentuan minimum faktor pengali untuk santunan asuransi Maksimum : Sesuai dengan ketentuan maksimum faktor pengali untuk santunan asuransi. Maksimum santunan asuransi untuk anak-anak (sampai dengan usia 17 tahun): Rp3.000.000.000,- |
||||||||||||||
| Iuran asuransi |
Iuran asuransi dikenakan sejak polis diterbitkan melalui pemotongan unit kontribusi berkala setiap bulannya pada tanggal pembayaran ujrah-ujrah* selama polis masih berlaku. Iuran asuransi meningkat dari waktu ke waktu dan tergantung dari: Besarnya santunan asuransi untuk asuransi dasar dan asuransi tambahan, apabila ada, usia Pihak yang diasuransikan dari waktu ke waktu, jenis kelamin Pihak yang diasuransikan, kondisi kesehatan, pekerjaan, dan hobi. Iuran asuransi digunakan untuk pembayaran (i) Iuran Tabarru’; dan (ii) Ujrah pengelolaan risiko dengan alokasi sebagai berikut:
Alokasi penggunaan iuran asuransi tersebut di atas dapat berubah dari waktu ke waktu sesuai dengan ketentuan atau kebijakan yang berlaku di Pengelola dan akan diupdate pada website resmi Maybank Untuk menghindari keraguan, iuran asuransi ini akan dikenakan sampai dengan tanggal akhir pembayaran iuran asuransi yang tercantum dalam data polis. *) Tanggal pembayaran ujrah-ujrah: tanggal jatuh tempo pembayaran ujrah-ujrah, terhitung sejak tanggal polis mulai berlaku dan setiap bulan berikutnya. |
||||||||||||||
| Ujrah Pengelolaan Risiko | Ujrah pengelolaan risiko dibebankan sebesar 50% dari iuran asuransi yang dibayarkan setiap bulannya pada tanggal pembayaran ujrah-ujrah selama polis masih berlaku. | ||||||||||||||
| Ujrah Pengelolaan Dana Investasi | Maksimum sebesar 2%, sesuai dengan pilihan subdana Anda yang akan dikenakan pada polis Anda setiap tahun. | ||||||||||||||
| Perhitungan Nilai Investasi** |
Nilai dari total unit kontribusi berkala & kontribusi top up tunggal (apabila ada) yang telah terbentuk dalam polis berdasarkan harga unit pada suatu saat tertentu. Harga unit bergantung dari perkembangan investasi dari subdana yang dipilih. |
| Tingkat Risiko | Pilihan Subdana Syariah | Strategi Investasi | Ujrah* | ||||
|---|---|---|---|---|---|---|---|
| Instrumen Syariah Pasar Uang | Instrumen Syariah Pendapatan Tetap | Instrumen Syariah Saham | Alokasi Instrumen Syariah | ||||
| Di Indonesia | Offshore | ||||||
| Konservatif | Allianz Syariah Rupiah Money Market Class B Fund | 100% | 0% | 0% | 100% | – | 1% |
| Moderat | Allianz Syariah Rupiah Fixed Income Class B Fund | 0 – 20% | 80 – 100% | 0% | 100% | – | 2% |
| Allianz Syariah Rupiah Balanced Class B Fund | 25 – 50% | 50 – 75% | 100% | – | 2% | ||
| Agresif | Allianz Syariah Rupiah Equity Class B Fund | 0 – 20% | 0% | 80 – 100% | 100% | – | 2% |
*Ujrah pengelolaan investasi atas dana investasi per tahun berdasarkan pilihan subdana.
Catatan:
Asumsi Tingkat Investasi per tahun: -1%, 0%, 5%, dan 10%
|
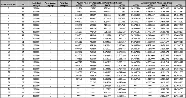
Nama pihak yang diasuransikan: Jonas PERINCIAN KONTRIBUSI
Kontribusi berkala: Rp200.000.000,- |
Kebutuhan rencana keuangan
Kontribusi: Rp200.000.000,- |
Tabel Proyeksi Nilai Investasi dari Kontribusi yang dibayarkan (dalam ribuan Rupiah)



Contoh Ilustrasi Manfaat
|
Asumsi tingkat investasi per tahun 5% |
Jonas |
Kebutuhan rencana keuangan: |

Catatan:
Tentang Grup Allianz
Allianz Group adalah perusahaan asuransi dan manejemen aset terkemuka di dunia dengan lebih dari 122 juta Nasabah individu dan perusahaan di lebih dari 70 negara. Nasabah Allianz mendapatkan manfaat dari berbagai layanan asuransi individu dan kumpulan, mulai dari asuransi properti, jiwa dan kesehatan, sampai layanan bantuan asuransi kredit dan asuransi bisnis secara global. Allianz adalah salah satu investor terbesar di dunia, dengan dana kelolaan nasabah asuransi lebih dari 714 miliar Euro. Sementara manajer aset kami, PIMCO dan Allianz Global Investors mengelola aset tambahan sebesar 1,7 triliun Euro milik pihak ketiga. Berkat integrasi sistematik ekologis dan kriteria sosial pada proses bisnis dan keputusan investasi, Allianz memegang posisi terdepan untuk perusahaan asuransi dalam Dow Jones Sustainable Index. Pada tahun 2022, Allianz Group memiliki 159.000 karyawan dan meraih total pendapatan 152,7 miliar Euro serta laba operasional sebesar 14,2 miliar Euro.
Tentang Allianz di Asia
Asia adalah salah satu wilayah pertumbuhan inti untuk Allianz, yang ditandai dengan keragaman budaya, bahasa dan adat istiadat. Allianz telah hadir di Asia sejak 1910, menyediakan asuransi kebakaran dan maritim di kota-kota pesisir Tiongkok. Saat ini, Allianz aktif di 15 pasar di wilayah tersebut, menawarkan beragam asuransi dengan bisnis inti pada asuransi kerugian, asuransi jiwa, perlindungan dan solusi kesehatan, dan manajemen aset. Dengan lebih dari 36.000 staf, Allianz melayani kebutuhan lebih dari 21 juta nasabah di wilayah ini melalui berbagai saluran distribusi dan platform digital.
Tentang Allianz Indonesia
Allianz memulai bisnisnya di Indonesia dengan membuka kantor perwakilan di tahun 1981. Pada tahun 1989, Allianz mendirikan PT Asuransi Allianz Utama Indonesia, perusahaan asuransi umum. Kemudian, Allianz memasuki bisnis asuransi jiwa, kesehatan dan dana pensiun dengan mendirikan PT Asuransi Allianz Life Indonesia di tahun 1996. Di tahun 2006, Allianz Utama dan Allianz Life memulai bisnis asuransi syariah. Pada tahun 2023, PT Asuransi Allianz Life Syariah Indonesia resmi beroperasi sebagai entitas terpisah yang memberikan perlindungan asuransi dan pengelolaan risiko keuangan yang berbasis syariah. Kini, Allianz Indonesia didukung oleh lebih dari 1.000 karyawan dan lebih dari 40.000 tenaga pemasar dan ditunjang oleh jaringan mitra perbankan dan mitra distribusi lainnya. Saat ini, Allianz menjadi salah satu asuransi terkemuka di Indonesia yang dipercaya untuk melindungi lebih dari 10 juta tertanggung.
Catatan Penting :